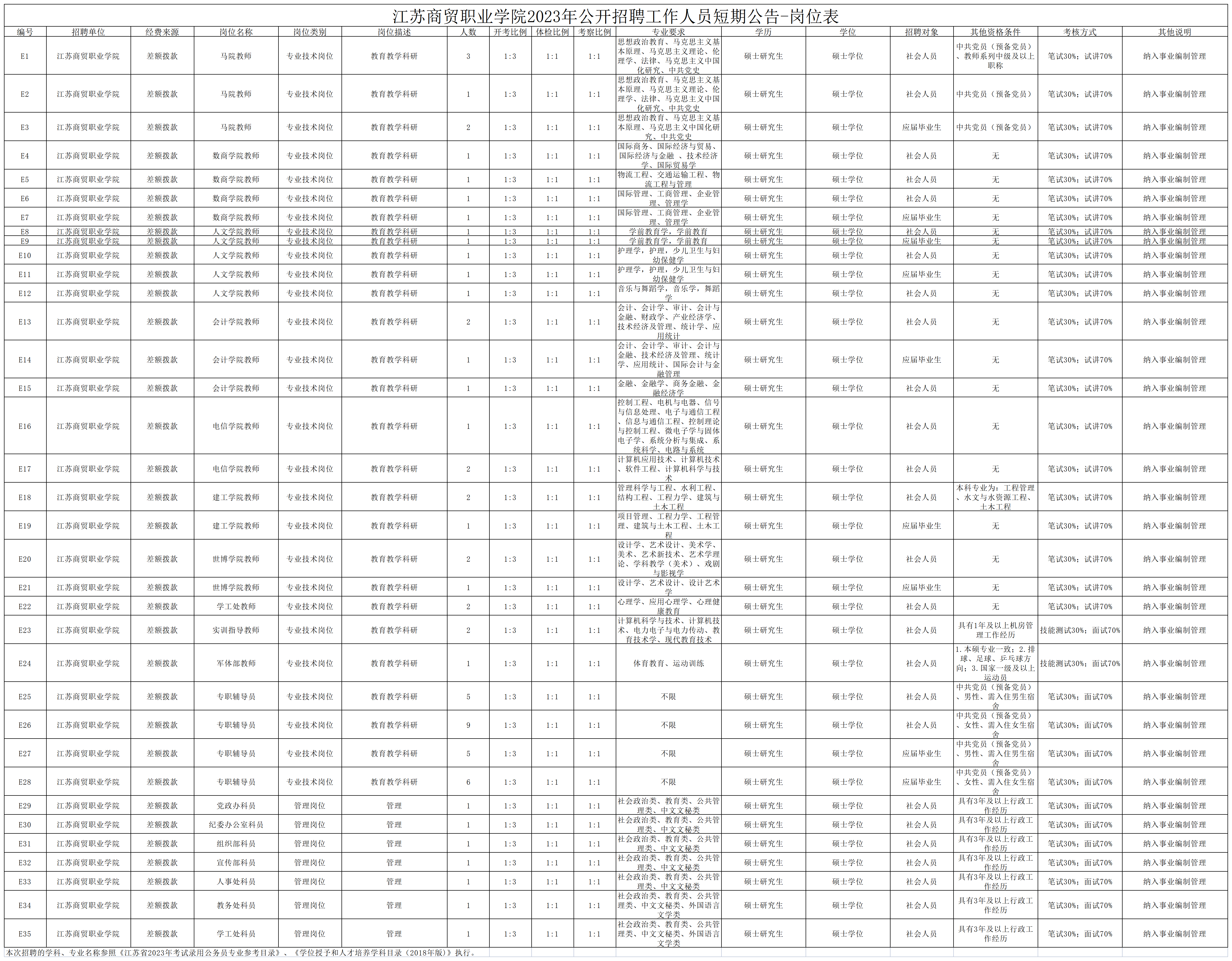
江苏商贸职业学院招聘辅导员25名,教师33名,管理岗7名
报名开始:2023年8月16日
报名截至:2023年8月21日
江苏商贸职业学院是江苏省供销合作总社主管的差额拨款事业单位,位于江苏省南通市江通路48号。为更好地选拔优秀适岗人才,充实人才队伍,优化师资结构,江苏商贸职业学院现面向社会公开招聘优秀人才。根据《江苏省事业单位公开招聘人员办法》(苏办发〔2020〕09号)等规定,现将有关事项公告如下:
一、报考条件
(一)具有中华人民共和国国籍;
(二)遵守中华人民共和国宪法和法律,拥护中国共产党领导和社会主义制度;
(三)具有良好的品行;
(四)年龄要求为:硕士研究生年龄不超过35周岁(即1988年1月1日之后出生),博士研究生或具有中级专业技术职称年龄不超过40周岁(即1983年1月1日之后出生),具有副高级专业技术职称的年龄不超过45周岁(即1978年1月1日之后出生),具有正高级专业技术职称的年龄不超过50周岁(即1973年1月1日以后出生)。报考专职辅导员岗位,具有5年及以上专职辅导员工作经历的,可放宽至40周岁(即1983年1月1日之后出生)。
(五)专职辅导员岗位要求为中共党员(含预备党员)且须具备下列条件之一:
1.在高校就读期间担任主要学生干部1年及以上;主要学生干部是指在高校本科或研究生就读阶段担任正副班长、团支部书记、党支部书记,在高校二级学院(或二级系)团委、学生会、研究生会、社团联合会任部长及以上学生干部,在高校团委、学生会、研究生会、社团联合会任副部长及以上学生干部。主要学生干部年限计算均截止到2023年8月31日。
2.有1年及以上高校专职辅导员工作经历;工作经历是指正式参加工作经历(不含实习、兼职等),应为确立实际聘用(合同)关系的工作经历,资格复审时须提交劳动合同、社保缴费证明、单位工作经历证明,且与个人档案履历材料一致。
3.有3年及以上企事业单位专职从事思想政治工作经历。专职从事思想政治工作是指在党的基层委员会、总支部委员会、支部委员会担任专职书记、副书记,或在纪检和党办、组织(人事)、宣传、统战、学生工作部等党的工作部门中专职从事思想政治工作,或在工会、共青团、妇联专职从事思想政治工作,以及专职从事思想教育或职业道德建设工作。
(六)具备《招聘岗位表》中岗位要求的资格条件(详见岗位表)。本次招聘的应届毕业生须于2023年8月31日前毕业并取得学历学位证书,且仍无工作单位。2021年和2022年普通高校毕业生,若仍未落实工作单位,其档案关系仍保留在原毕业学校,或保留在各级毕业生就业主管部门(毕业生就业指导服务中心)、人才交流服务机构和公共就业服务机构的,以及国(境)外同期毕业且已完成学历认证但仍未落实工作单位的人员,可应聘应届毕业生岗位。
国(境)外教学科研机构学习同期毕业人员,指在国(境)外教学科研机构学习,与国内应届毕业生同期毕业的留学人员,同期毕业的时间要求与国内应届毕业生一致。
(七)取得祖国大陆普通高校学历的台湾学生和取得祖国大陆承认学历的其他台湾居民应聘时按国家和江苏省有关规定执行。
(八)计算工作经历的基准日期为2023年8月31日。
二、报名
(一)报名时间、地点、方式
应聘人员通过“江苏省属事业单位公开招聘平台”报名,照片上传、资格初审和缴费确认,均通过网络同步进行。报名网址:https://rs.jshrss.jiangsu.gov.cn/index/f/RCRS_0056(江苏省人力资源和社会保障厅网上办事服务大厅)
1.报名、照片上传:8月16日9∶00-8月21日16∶00;
2.资格初审:8月16日9∶00-8月22日16∶00;
3.陈述申辩:8月16日-8月23日期间9∶00-16∶00;
4.对初审异议的处理:8月16日9∶00-8月23日18∶00;
5.缴费确认:8月16日9∶00-8月24日12∶00。
(二)网上确认
1.应聘人员网上提交报名信息24小时后(节假日顺延),可到报名网站查询是否通过资格初审。
2.本次公开招聘收取报名费100元,通过初审后的应聘人员进行网上支付,在网上缴纳报名费100元。通过初审并且完成缴费确认的人员,即报名成功。
3.未按时在网上确认报名资格、上传照片、要求缴纳报名费而未缴的视为报名无效。
(三)网上打印准考证
通过资格初审和缴费确认的应聘人员,请于指定时间到江苏省人力资源和社会保障厅网上办事服务大厅下载、打印准考证。准考证下载、打印时间将在江苏商贸职业学院官网首页“通知公告”栏目(网址:https://www.jsbc.edu.cn/)公布。打印中如有问题,请拨打电话:025-52616712。
(四)报名注意事项
1.应聘人员按岗位要求和网上提示,如实填写有关信息,并上传本人近期免冠正面二寸(35×45毫米)证件照,jpg格式,大小为20Kb以下。
江苏商贸职业学院根据应聘人员提供的信息进行审核。应聘人员弄虚作假的,一经查实,即取消应聘资格。
2.E1-E35岗位为短期招聘岗位,开考比例为1:3,如未达到开考比例,将核减或取消该招聘岗位,并在江苏省人力资源和社会保障厅官网上公告。应聘被取消岗位的人员可在2023年8月25日9:00-16:00登录到江苏省属事业单位公开招聘平台补报其他符合条件的岗位。
3.应聘人员只能从岗位表选择一个岗位报名。资格初审通过后,不可更改报名信息。未通过资格初审的应聘人员,在报名期内,可以改报符合资格条件的其他岗位。应聘人员要使用在有效期内的第二代居民身份证进行报名,报名与考场使用的身份证必须一致。
4.有下列情形之一的,请勿报名应聘:
①现役军人、普通高校在读非应届毕业生;
②与事业单位负责人员有夫妻关系、直系血亲关系、三代以内旁系血亲关系或者近姻亲关系等亲属关系的,不得应聘事业单位的组织(人事)、纪检监察、审计财务岗位;与现有在岗人员存在上述关系的,不得应聘到岗后形成直接上下级领导关系的管理类岗位,以及《事业单位人事管理回避规定》明确应当回避的岗位;
③新《江苏省事业单位公开招聘人员办法》于2020年3月13日起施行,根据其后发布的事业单位公开招聘人员公告,被聘用到江苏省地方各类事业单位3年服务期未满的在编(在册)人员;
④2023年8月31日前,5年服务期未满的新录用公务员,或有规定(含协议明确)不得解聘离开工作单位(岗位)的人员,或国家和省另有规定不得应聘到事业单位的人员。
三、考试科目、时间和实施办法
考试方式为:1.笔试;2.技能测试;3.试讲;4.面试;5心理测试。考试按照学校制定的办法执行,考试的时间暂定于2023年9月-10月进行,具体时间、地点在江苏商贸职业学院官网首页“通知公告”栏目(网址:https://www.jsbc.edu.cn/)发布公告。请通过资格初审者主动及时关注网上公告,并按公告明确的时间参加考核,逾期者作为放弃考试处理。
(一)笔试
笔试内容主要包括与本岗位相关的基本理论、基础知识和基本应用能力,不指定大纲和教材。笔试满分为100分,合格线为60分。笔试成绩将在笔试结束后10个工作日内公布,在江苏商贸职业学院网站凭身份证号、准考证号查询。
E1-E22岗位在笔试成绩合格者中,从高分到低分的顺序,按各招聘岗位拟聘用人数1:3,对应聘人员进行资格复审,确定参加试讲人选,如有资格复审不通过人员,在笔试合格者中按成绩从高到低依次递补,复审通过者参加试讲。如资格复审通过人数不足该比例的按实际人数确定试讲人选。
E25-E35岗位在笔试成绩合格者中,从高分到低分的顺序,按各招聘岗位拟聘用人数1:3,对应聘人员进行资格复审,确定参加面试人选,如有资格复审不通过人员,在笔试合格者中按成绩从高到低依次递补,复审通过者参加面试。如资格复审通过人数不足该比例的按实际人数确定面试人选。
(二)技能测试
根据岗位特点,主要考核与岗位相关的专项技能水平,以技能测试的方式进行。满分为100分,合格线为60分。技能测试成绩将在结束后10个工作日内公布,在江苏商贸职业学院网站凭身份证号、准考证号查询。
E23-E24岗位在技能测试成绩合格者中,从高分到低分的顺序,按各招聘岗位拟聘用人数1:3,对应聘人员进行资格复审,确定参加面试人选,如有资格复审不通过人员,在技能测试合格者中按成绩从高到低依次递补,复审通过者参加面试。如资格复审通过人数不足该比例的按实际人数确定面试人选。
(三)资格复审
试讲和面试前,江苏商贸职业学院将对进入试讲和面试人员进行资格复审,复审时须查看应聘人员报名材料原件(并提供复印件一套)。无法提供以下材料原件或提供的材料不符合要求的,学校有权取消其参加考试资格。材料包括:
1.身份证;
2.最高学历、学位证书及学信网认证报告,国(境)外取得的学历学位证书须取得教育部中国留学服务中心的认证证书,执业资格证书;
3.职称证书;
4.公告和岗位表中要求的相关证明(党员证明、主要学生干部经历证明、工作经历证明等)。其中党员证明材料由考生所在单位的组织部门或二级党组织出具;院级主要学生干部经历须由学院党委出具证明,校级主要学生干部经历须由高校学生管理部门出具证明;高校工作经历由高校校级人事部门(不含校内其他二级部门或二级单位)出具证明;企事业单位专职从事思想政治工作经历由所在单位党委或党总支(不含单位内二级部门或二级单位党委或党总支)出具证明;党政管理工作经历、行政工作经历和机房管理工作经历须由考生所在单位的人事部门出具证明。证明中须明确任职职务和任职起止年月。在职人员需提交有用人权限部门或单位出具的同意报考证明;
5.应届毕业生须提供《毕业生双向选择就业推荐表》(原件,内容填写完整,院校盖章)和《普通高校毕业生就业协议书》(空白、原件,若为网签协议须学校出具空白协议证明)。办理聘用手续时,须提供于2023年8月31日前取得的毕业学历(学位)证书原件及复印件,否则视为自动放弃。
应聘人员提供的所有材料、各单位开具的应聘人员证明材料均须真实有效。经查实有弄虚作假行为的,对应聘人员立即取消应聘和录用资格或解除聘用合同。
资格复审的人员名单、具体时间、地点将通过江苏商贸职业学院网站提前告知应聘人员,逾期未参加资格复审的,均作为放弃处理。
(四)试讲
试讲以招聘岗位要求相关的专业知识及综合能力为主,主要测试应聘人员的教育教学能力,对课堂教学目标、教学内容、教学方法、教学组织及教学效果作出评价。满分为100分,合格线为60分,试讲成绩当场告知应聘人员。
(五)面试
面试主要测试履行岗位职责所需的职业道德、专业知识、业务能力和综合素质,面试满分为100分,合格线为60分,面试成绩当场告知应聘人员。没有按照规定的时间和地点参加面试的人员视为主动放弃。
(六)心理测试以在线答题形式测试应聘人员心理健康状态和素质能力。本项为考察项,不计入总成绩。
(七)采用百分制计算应聘人员总成绩
应聘人员考试总成绩按百分制计算,所有考试成绩均计算到小数点后两位数,尾数四舍五入,具体岗位总成绩折算方式如下:
E1-E22岗位总成绩=笔试成绩×30%+试讲成绩×70%,总成绩相同时以笔试成绩高的优先。若笔试成绩也相同,采用面试加试确定排序。
E23-E24岗位总成绩=技能测试成绩×30%+面试成绩×70%,总成绩相同时以技能测试成绩高的优先。若技能测试成绩也相同,采用面试加试确定排序。
E25-E35岗位总成绩=笔试成绩×30%+面试成绩×70%,总成绩相同时以笔试成绩高的优先。若笔试成绩也相同,采用面试加试确定排序。
四、体检、考察
考试结束后,根据总成绩计算方法确定应聘人员的总成绩,在各单项考试(测试)合格人员中,按招聘岗位拟招聘人数1:1的比例从高分到低分确定参加体检人员。体检标准参照《国家公务员录用体检通用标准(试行)》执行。
对体检合格人员由江苏商贸职业学院组织考察,并根据考察和体检结果,确定拟聘用人员名单。拟聘用人员名单将在江苏省人力资源和社会保障网站上公示7个工作日,公示内容包括岗位编号、招聘单位、岗位名称、拟聘用人员姓名、学历、专业、毕业院校、现工作单位、招聘考试的各项成绩、总成绩、排名等。
因应聘人员考察或者体检不符合要求的,或拟聘用人选公示的结果影响聘用的,或拟聘用人选明确放弃聘用的,或其他原因导致聘用岗位空缺时,由学校决定不递补。
五、公示与聘用
对公示无异议人员,经省人力资源和社会保障部门备案后,由江苏商贸职业学院为其办理有关聘用手续,并与其签订聘用合同,并约定试用期。试用期满考核合格,予以定岗定级;考核不合格者,取消聘用资格,解除聘用合同。拟聘用人员一般与招聘单位订立3年以上(含)聘用合同的,除依法依规解除聘用合同外,应当在学校最低服务3年(含试用期)。拟聘用专职辅导员与学校签订聘用合同,除依法依规解除聘用合同外,一经聘用须在本校辅导员岗位服务5年以上(含试用期),服务期内不得调动或在校内交流到非辅导员岗位。
六、招聘政策咨询
江苏商贸职业学院人事处负责回答此次招聘政策咨询。
咨询电话:0513-85679273
七、招聘工作监督
江苏商贸职业学院纪委对此次招聘工作进行纪律监督。
监督电话:0513-51001581
八、招聘工作举报
江苏省供销合作总社、江苏省人力资源和社会保障厅接受事业单位公开招聘工作举报。
1、江苏省供销合作总社
举报信箱:ssrsc208@sina.com,
举报电话:025-83459606。
2、江苏省人力资源和社会保障厅
举报信箱:js_sydwgkzp@163.com,
举报电话:025-83230723。
九、技术支持
1.系统注册、登录咨询电话:025-83278731
2.报名技术支持电话:025-52616712
江苏商贸职业学院
2023年8月15日
http://jshrss.jiangsu.gov.cn/art/2023/8/15/art_78506_10984074.html
© gaoxiaoqiuzhi.com 高校人才招聘信息网 版权所有

